공조냉동기술을 잘 이해하기 위해서는 기초적인 역학이론을 잘 알아야 합니다. 열역학 법칙과 연관된 운동에너지와 위치에너에 대해 알아보겠습니다.
운동에너지
에너지(Energy)는 일(Work)이나 열(Heat)을 의미합니다. 그리고, 에너지 보존법칙에 의해 에너지는 일정하게 유지되지만 형태가 바뀌는 것입니다.
일(W) = 힘(F) x 거리(S)
어떤 물체를 들어올리는 것을 상상해 봅시다. 사람이 물체를 들어올릴때 들어가는 힘 (F)과 바닥에서 들어올린 높이 (거리 S)를 곱하면 그 사람이 한 일의 양이 계산이 됩니다.
힘(F) = 질량(m) x 가속도(a)
힘은 어떤 물체가 가진 질량과 그 물체에 가해진 가속도의 곱으로 정의됩니다. (뉴튼의 제2법칙) 바닥에 놓여진 물체를 들어올릴때 들어올리는 방향과 반대방향으로 중력가속도 (g) 가 물체에 가해지고 질량과 중력가속도의 곱에 해당하는 값보다 더 큰 힘으로 들어올려야 물체를 들수가 있습니다.
일정한 속도로 움직이는 어떤 물체가 있다고 가정해 봅시다. 이 물체의 속도를 변화시키기 위해서는 외부에서 이 물체에 힘을 가해서 가속도의 변화를 일으켜야 한다는 것을 알 수 있습니다.

어떤 경로를 움직이는 물체에 가해지는 힘을 F, 속도를 V, 물체가 움직이는 경로를 S, 물체가 가진 질량을 m 이라고 합시다.
어떤 힘에 의해 움직이고 있는 물체가 가진 에너지를 운동에너지라 하고 이것은 질량과 속도의 제곱에 비례합니다.
수식
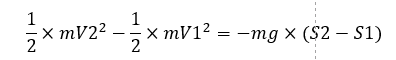
경로상의 어떤 점 S1 에서 S2로 이동할 경우 S1에서 S2로 이동하는 동안 물체가 한 일은 S2에서의 운동에너지에서 S1의 운동에너지를 뺀 값입니다. 일은 힘 x 거리 입니다. 힘 F가 작용하는 물체가 S1에서 S2로 이동했을 때 거리는 (S2 -S1)이므로 일은 F x (S2 -S1) 이 됩니다. 그리고 이 값은 1/2mV2^2 – 1/2mV1^2 과 같습니다. 이것을 다르게 말하면 물체에 힘을 주어 거리가 이동이 되면 그 물체에 운동에너지가 생기고 서로 다른 지점의 운동에너지의 차이가 힘에 의해 발생된 일의 양이 되는 것입니다.

위치에너지
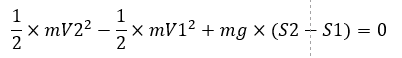
물체를 들어올리는 힘을 F라고 할 때 물체에 한 일은 F (S2 -S1) – mg (S2 -S1)로 표현할 수 있습니다. mg는 중력이고 들어올리는 힘의 반대방향으로 작용하므로 마이너스 부호를 붙일 수 있습니다.

한편 운동에너지에서의 공식을 대입하면

이고, 만약 물체를 바닥에서 들어올리는 것이 아니라 위에서 가만히 있다가 떨어뜨린다고 한다면 여기서 힘 F=0이므로

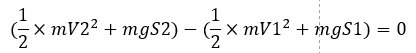
여기서 우변에 해당하는 값이 물체가 가진 위치에너지입니다. 그리고 수식을 다시 쓰면


S2지점의 운동에너지와 위치에너지의 합은 S1지점의 운동에너지와 위치에너지의 합과 같다는 것을 알 수 있습니다.
댓글 남기기